“建筑改造与加固”公众号

几万加固人的学习平台


电子邮箱

密码

注册 忘记密码?
混凝土构件的加固计算与新建计算到底有何不一样?
来源: | 作者:李海乐 | 发布时间: 2024-02-29 | 2205 次浏览 | 分享到:

很多朋友做加固设计的时候,看到加固计算公式这么一长串都会望而却步。怎么才能很好的拆解这些公式,方便大家理解,今天通过与传统新建混凝土构件计算的对比来谈谈。

先从计算原则的角度来讲,我们可以先来看看《混凝土结构加固设计规范》中的相关规定:


图片

从以上规定可以看出,混凝土构件的加固计算和新建混凝土构件计算的计算原则都是一致的,以下我们以混凝土梁的粘钢加固为例,通过计算公式具体看看。
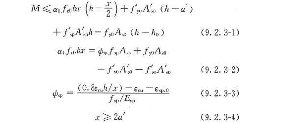
  01   混凝土梁受弯计算   



图片

图片

混凝土梁受弯加固计算公式



图片

新建混凝土梁受弯计算公式

从以上公式,混凝土梁无论是新建还是加固计算都遵循的是平截面假定,9.2.3-1与6.2.10-1都是对混凝土梁受拉侧边缘的取矩公式,抛去预应力钢筋的作用,区别仅仅是加固计算时多考虑受压和受拉钢板的作用
9.2.3-26.2.10-2则是对沿梁轴线方向建立的静力平衡方程,抛去预应力钢筋的作用,区别也是加固计算时多考虑受压和受拉钢板的作用
从以上对比,不难看出其实新建和加固计算的原理是一致的,所以大家在进行加固计算时如果《混凝土结构加固设计规范》有交代不清楚的地方,完全可以参考混凝土结构设计规范》进行计算。
比如说考虑受压钢筋时,x<2a'的情况,混凝土结构加固设计规范》并没有给出计算公式,这时可以参考混凝土结构设计规范》6.2.14条进行计算,6.2.14条是对受压钢筋的取矩公式,当然加固计算时也需要增加新增受压和受拉钢板对受压钢筋的取矩公式

图片

《混凝土结构设计规范》6.2.14条

《建筑抗震加固技术规程》中关于柱加固承载力计算公式就给的更简单粗暴,直接采用了原始承载力和加固新增承载力之和。

图片

《建筑抗震加固技术规程》6.3.5条


  02   混凝土梁受剪计算   


图片

混凝土梁受剪加固计算公式


图片

新建混凝土梁受剪计算公式

受剪计算就更简单了,加固计算公式9.3.3-2中的Vb0其实就是Vcs,在最终的加固计算公式6.3.4-1中仅仅是简单粗暴的增加了受剪箍带的作用。
通过以上分析,相信大家对于混凝土构件加固计算原理有了一定了解,那能不能用个和抗震加固一样(抗震加固承载力验算公式的改进建议)更简洁的公式来反映与新建混凝土构件计算的区别,当然是可以的。
可以参考混凝土结构设计规范》中新建构件的承载力表达形式。

图片

新建混凝土承载力设计表达式

凝土构件加固计算公式可以表达为以下形式。
γ0S≤R0+ψR
R0可以理解为构件原始部分承载力,R为构件新增部分的承载力,当然还需要考虑加固部分的二次受力影响,可以通过系数ψ考虑。更准确一点表达可以同时把体系影响系数ψ1和构造影响系数ψ2考虑进去。
当然,目前加固规范的算法还是做了一定的简化和假定,对二次受力的考虑也很简单粗暴,还需要不断进行更深入的研究。