对于混凝土梁和板等受弯构件进行外贴钢板和碳纤维加固设计时,钢板和碳纤维的粘贴长度该如何确定呢?这就需要和规范中一个参数的确定有关,这个参数就是粘贴延伸长度。我们今天就来谈谈粘贴延伸长度的含义和确定方法。

粘贴延伸长度的概念来自《混凝土结构加固设计规范》,在规范10.2.5条给出了相关定义,并给出了图示说明。

△ 《混凝土结构加固设计规范》相关图示
根据规范定义,粘贴延伸长度是纤维复合材或钢板从其强度充分利用的截面算开始粘贴延伸的最小截断距离,通常情况下也可以理解为从梁板弯矩最大值处开始的延伸长度,对于负弯矩区也可以说是从支座边缘算起。
要理解粘贴延伸长度的含义可以从粘贴钢板或碳纤维受弯加固的破坏模式说起。其破坏模式一般分为两种:
(1)钢板或碳纤维等加固材料本身的受拉破坏,这是我们期望的比较理想的破坏模式。避免这种破坏的发生我们一般通过计算保证,可简化为以下公式:
加固材料层数×加固材料宽度×加固材料厚度≥加固材料计算需求值
(2)沿钢板或碳纤维与混凝土基材粘贴面的剥离破坏,这种破坏模式往往体现为脆性破坏,应该是我们要避免的。这个时候我们就要保证剥离破坏不会先去材料受拉破坏,也可简化为以下公式:
加固材料延伸长度×加固材料宽度×加固材料与混凝土之间的粘结抗剪强度≥加固材料层数×加固材料宽度×加固材料厚度×加固材料抗拉强度
把以上公式转化一下,不难求出加固材料延伸长度:
加固材料延伸长度≥加固材料层数×加固材料宽度×加固材料厚度×加固材料抗拉强度/(加固材料宽度×加固材料与混凝土之间的粘结抗剪强度)
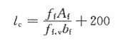
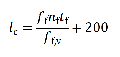
把这个公式转化成规范中的参数,再加上200的预留安全长度,不难得到规范9.2.5条和10.2.5条关于粘贴延伸长度的计算公式:

△ 规范关于钢板粘贴延伸长度的计算公式

△ 规范关于碳纤维粘贴延伸长度的计算公式
有了上面的推理,我们就可以更好理解粘贴延伸长度的概念,同时可以把上面碳纤维的粘贴延伸长度简化为以下公式:

△ 简化后的碳纤维粘贴延伸长度的计算公式
从以上的公式我们不难看出,粘贴延伸长度主要跟加固材料的总厚度有关,与加固材料的宽度是无关的,这就也不难理解规范为什么对碳纤维的总层数和粘钢板的总厚度提出构造要求了。
以上内容仅代表个人观点,作者水平所限,旨在抛砖引玉,欢迎提出更多更好的办法解决此问题,欢迎留言讨论!